Vol. 27 No. 4 (2024)

Engineering and Technology - Research article

Section: NATURAL SCIENCES

The Atomic Mechanism of the Melting Process of Free-standing Hexagonal Boron Nitride

3611-3622 2024-12-31

Dan Lin Lieu, Hang T. T. Nguyen, Nghia Minh Dong, Yen Khanh Nguyen

PDF XML

Fluorine containing chalcones as anticancer agents: Solvent-free synthesis and cytotoxicity against HepG2 cancer cells

3623-3632 2024-12-31

Phuong Ho, Thi Loan Nguyen, Thi Ngoc Anh Nguyen, An Quoc Than Ha, Hao Minh Hoang

PDF XML

Spray-dried Encapsulation of Roselle (Hibiscus Sabdariffa) and Evaluation of Their Potential as Rich-antioxidant Compound

3633-3642 2024-12-31

Vo Minh Quan, Chi Kim-Thi Le, My-Duyen Ngo, Trung-Tuan Nguyen Lam, Kieu Thi-Thuy Nguyen, Thi Thanh Tam Phan, Thao Nhi Dang Ngoc, Hoan Ngoc Doan, Hiep T Nguyen

PDF XML

Evaluation of Micro-Encapsulated Roselle Extract as a Food Colorant in Red Nata de Coco Dessert Model System

3643-3653 2024-12-31

My-Duyen Ngo, Vo Minh Quan, Chi Kim-Thi Le, Hong-An Vu Ngoc, Thien-Nhan Vo, Kieu Thi-Thuy Nguyen, Loan Thi Thanh Cao, Thi-Tuyet Nga Tu, Hoan Ngoc Doan, Thi-Hiep Nguyen

PDF XML

Contamination status of surface water from urban rivers and lakes in Hanoi, Vietnam: Pollution parameters and concentrations of selected elements

3662-3671 2024-12-31

Anh Quoc Hoang, Giang Hoang Tran, Chien Viet Dinh, Minh Hai Trinh, Huyen Thi Kieu, Hieu The Nguyen, Thao Xuan Nguyen, Duyen Thi Nguyen, Anh Hong To, Duong Huy Nguyen, Hieu Duc Nguyen, Hien Le Thuy Nguyen, Anh Mai Luu, Anh Hoang Dinh, Huong Thi Anh Nguyen

PDF XML

Surface features of graft-type polymer electrolyte membranes using tapping mode atomic force microscopy analysis

3694-3703 2024-12-31

Nguyen Nhat Kim Ngan, Nguyen Manh Tuan, Nguyen Huynh My Tue, Vo Thi Kim Yen, Dinh Tran Trong Hieu, Hoang Anh Tuan, Tran Ngoc Tien Phat, Nguyen Thanh Ta, Lam Hoang Hao, Doan Thi Kim Ngan, Tran Duy Tap

PDF XML

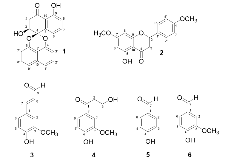
Phenolic compounds from the bark of Aglaia lawii and their cytotoxic activity against HepG2

3704-3710 2024-12-31

Quan Hoang Pham, Thao-Ly Thi Nguyen, Binh Dieu Thi Trinh, Lien-Hoa Dieu Nguyen, Ngoc Nhu Trang Ngo

PDF XML

Section: ENGINEERING AND TECHNOLOGY

Synthesis of Ag/CuO/rGO hybrid structure towards the applications in visible light photodetectors

3654-3661 2024-12-31

Duc Anh Ngo, Nhat Minh Nguyen, Thuan Phat Tran, Gia Vy Le, Le Thai Duy, Phan Phuong Ha La, Cong Khanh Tran, Vinh Quang Dang

PDF XML