Vol. 26 No. 4 (2023)

Section: NATURAL SCIENCES

Effects of source correction on positron annihilation lifetime spectroscopic analysis of graft-type polymer electrolyte membranes

3060-3068 2023-12-31

Nguyen Huynh My Tue, Tran Hoang Long, Dinh Tran Trong Hieu, Lam Hoang Hao, Vo Thi Kim Yen, Nguyen Manh Tuan, Huynh Truc Phuong, Le Quang Luan, Pham Thi Thu Hong, Tran Van Man, Tran Duy Tap

PDF XML

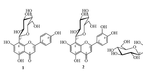
Flavonoid C-glucosides and monosaccharides from Combretum indicum

3074-3078 2023-12-31

Thanh-Dat Nguyen, Thi-Hong-Hoa Pham, Thi-Thuy-Duong Truong, Nguyen-Kim-Tuyen Pham, Thu Thi-Hoai Nguyen

PDF XML

Orientation of solid-state physics and materials science at SPMS2023

3027-3034 2023-12-31

Van-Duong Dao, Nguyen Duc Chien, Doan Dinh Phuong, Pham Thanh Huy, Phan Bach Thang

PDF XML

Section: SOCIAL SCIENCES AND HUMANITIES

Section: ENGINEERING AND TECHNOLOGY

Image Retrieval Based on ConvNets and Hashing Algorithm

3048-3059 2023-12-31

Nam Hoang Tran, Khoa Nhat Nguyen, Viet Hoai Vo

PDF XML

Nonlinear coupled constitutive relation model for monatomic gas in the OpenFOAM framework

3093-3102 2023-12-31

Nam Tuan-Phuong Le, Luc V Nguyen, Bang V Dinh, Anh V Dang

PDF XML

Variable Pulse Density Modulation for a Buck-Type Three-Switch Current Source Rectifier

3110-3131 2023-12-31

Thuong Ngo-Phi, Tuyen Nguyen Dinh, Nam Nguyen-Quang

PDF XML

The pyrolysis system for aluminum packaging with the highest aluminum recovery efficiency

3144-3149 2023-12-31

Sang Huu Nguyen, Khoa Nguyen Dang Doan, Thao Thi Ngoc Lan Ngo

PDF XML

A High-Precision Real-Time System for Pupil Size Measurement using an Infrared Camera and LED Light Stimulation

3172-3182 2023-12-31

Duong Thi Giang, Nguyen Van Quan, Pham Hoang Minh, Le Anh Tu, Nguyen Tri Lan, Pham Hong Duong

PDF XML

Section: ECONOMICS, LAW AND MANAGEMENT

Section: HEALTH SCIENCES

Epidemiological Analysis of Porcine Circovirus Type 2 (PCV2) Spatio-temporally of Circulation in Vietnam from 2004 to 2019

3183-3197 2023-12-31

Phuong Ngoc Mai Nguyen, Ngoc Thien Lam, Hien The Nguyen, Toan Tat Nguyen, Tien Duy Do, Nam Minh Nguyen

PDF XML

Antimicrobial activities of Streptomyces collected from Con Dao and Phu Quoc primitive forests

3198-3206 2023-12-31

Thang Ngoc Tran, Thien Hoa Truong, Thuong Pham Nguyet Le, Hang Thi Tong

PDF XML