Vol. 26 No. 1 (2023)

Section: NATURAL SCIENCES

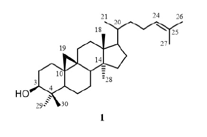
One triterpenoid and five phenolic compounds from the liverwort Bazzania sp.

2652-2658 2023-04-15

Khanh Xuan Nguyen, Tan Quoc Tran, Nam Nhat Nguyen, Bich Tram Thi Nguyen, Cam Hoang Nguyen, Tung Thanh Phan, Khang Hoang Le, Phi Phung Kim Nguyen, Huy Thuc Duong, Vinh Ngoc Huynh

PDF XML

Relationship between electrical and optical characterization of Ga-doped ZnO thin films deposited by magnetron sputtering

2659-2664 2023-04-15

Trang Thuy Thi Phan, Anh Tuan Thanh Pham, Thang Bach Phan, Vinh Cao Tran

PDF

Highly pure alpha-hederin from Hedera helix leaves isolated by centrifugal partition chromatography

2692-2696 2023-04-30

Nhu Phan Huynh Tran, An Chieu Tran, Ngoc Hong Pham, Nhu Le Quynh Doan, Lan Thi Thanh Pham, Hung Ngoc Le, Hiep Tuan Nguyen, Trung Van Phung

PDF XML

Section: SOCIAL SCIENCES AND HUMANITIES

How Female Physical Attractiveness Affects Others’ Judgments of Personality and Ability in a Simulated Recruitment Situation

2697-2704 2023-05-05

Vu Bich Phuong, Hue Anh Dinh Thi, Minh Thu Bach Ma, Son Van Tran Hong, Trang Thi Nguyen Huynh

PDF XML

Section: ENGINEERING AND TECHNOLOGY

New model for low-end computers: ResNet and VGG-16

2672-2680 2023-04-15

Hoang Linh Nguyen, Kha Tu Huynh

PDF XML