Vol. 25 No. 3 (2022)

Letter to Editor

Enthusiastic discussions on solid-state physics and materials science at SPMS2021

2497-2505 2022-10-15

Van-Duong Dao, Nguyen Duc Chien, Doan Dinh Phuong, Pham Thanh Huy, Phan Bach Thang

PDF

Section: NATURAL SCIENCES

Identification of commensal Pseudomonas aeruginosa isolates using duplex PCR targeting the oprL and algD genes

2481-2488 2022-11-14

Thuc Quyen Huynh, Nguyen Bao Vy Tran, Thuy Vy Pham, Nguyen Huong Giang Vo, Lam Que Anh Nguyen, Ngoc My Huong Nguyen, Van Dung Nguyen, Thi Thu Hoai Nguyen

PDF XML

Structural, electrical and thermoelectric characterizations of bismuth-doped ZnO ceramic material

2489-2496 2022-10-15

Thang Minh Bui, Dai Cao Truong, Phung Y Nguyen, Anh Tuan Thanh Pham, Dung Van Hoang, Truong Huu Nguyen, Vinh Cao Tran, Thang Bach Phan

PDF

Synthesis of a novel polysulfide via the reaction of a thiol compound and oxidant towards polymer self-healing application

2515-2520 2022-12-30

Nguyen Khai Hoang Nguyen, Mai Ly Thi Nguyen, Duc Anh Song Nguyen, Huan Hoang Dang, Loc Tan Nguyen, Thuy Thu Truong, Le Thu Thi Nguyen

PDF XML

Alkaloids and phenolic compounds from the trunks of Coffea canephora and their alpha-glucosidase inhibition

2521-2528 2022-12-30

Nga Thi Vo, Hien Thi Hoang, Ha Vu Nhat Nguyen, Phuong Thi Minh Le, Thu Thi Nguyen, Tuyet Thi Anh Nguyen

PDF XML

Synthesis and alpha-glucosidase inhibition of some novel quinazolin-4(3H)-one derivatives bearing a 2-thioxothiazolidine-4-one heterocycle

2529-2538 2022-12-30

Linh Bui Thi Thuy, Phat Nguyen Nguyen Cuong, Kiet Nguyen Tuan, Yen Nguyen Thi Kim, Cong Nguyen Tien, Duc Trong Le

PDF XML

Characteristics of Jet in Phu Quoc island, Kien Giang province, Viet Nam

2539-2547 2022-12-31

Lê Ngọc Năng, Nguyen Thanh Tri, Lam Vinh Phat, Le Huu Tuan, Pham Minh Tien

PDF XML

Section: ENGINEERING AND TECHNOLOGY

Combination of NAA and TXRF: an improved method to detect elements in the moss technique

2453-2459 2022-08-31

Son An Nguyen, Khiem Hong Le, Sang Thi Minh Nguyen

PDF XML

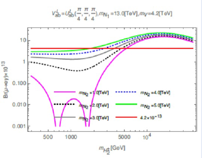
Decay of charged leptons l_i→l_j γ in the 3-3-1 model with neutral leptons

2460-2468 2022-08-31

Ha Thanh Hung, Vuong Minh Nguyen, Huan Phuc Hoang

PDF

Application of Antioxidant in BOPP book cover recycling

2469-2480 2022-08-31

Cuong Ngoc Hoang, Nguyet Thi Hoa Xuan Le

PDF XML

Synthesis and Optical Properties of Conjugated Copolymers based on Phenoxazine and Fluorene for an Activated Layer in Polymeric Solar Cell Applications

2506-2514 2022-11-14

Thao Thanh Bui, Dat Hung Tran, Hai Minh Phan, Dai Ngoc Dao, Thiet Quoc Nguyen, Son Thanh Cu, Nguyen Tran Ha

PDF XML